Lecture 23 - Stars (3/6/96)


Seeds: Chapter 8

  1. Overview
    • What do we know about the physical properties of the distant stars?
    • The nearest star (besides our Sun) is about 4 light years away.
    • How can we measure T, L, M, R for such distant stars?
    • Temperature - easy, from spectrum
    • Luminosity - from brightness and distance
    • Mass - from gravitational force on orbiting bodies
    • Radius - from angular size and distance?
    • It turns out stars are so far away, that they are too tiny to measure the angular sizes of any but the largest.
    • To measure the mass, we need to find pairs of stars orbiting one another, or stars with big planets around them.
  2. Distances and Parallax
    • We used the greatest elongation of distant planets to measure the orbital radius versus our distance to the Sun - we could have reversed this using the apparent position of the Earth on the Venusian sky to measure the same ratio.
    • This is called parallax, we already did a parallax problem on the midterm, where you found the distance to a spaceship which measured the angular size of the Earth's orbit (1 AU).
    • Stars are so distant we can safely use the small angle formula.
    • The parallax p of a star is half the angle that it shifts when the Earth is at opposite points in its orbit perpendicular to the line to the star.
    • Thus, our small angle formula gives us distance d:
      ( d / 1 AU ) = ( 206265" / p )
    • If we measure distances in parsecs (pc), where 1 pc = 206265 AU, and parallaxes in arcseconds, then:
      d = 1 / p
    • Thus, the parsec is the standard unit for astronomical distances outside the solar system.
    • A parsec is 206265 AU, or 1 pc = 3.26 light years.
    • The sun has an apparent angular diameter of 32' (1920") from the Earth at 1 AU away. At 1 parsec (206265) this becomes 1920"/AU / 206265 AU or 0.009"! This is a very small angular size (remember the resolution of telescopes) and almost impossible to measure.
  3. Brightness and Luminosity
    • The intensity of a light source, like a star or light bulb, falls off as the inverse of the square of the distance.
    • This is because the light source emits a certain average number of photons per second at its surface, which then disperse uniformly through space.
    • Because this rate of photons must pass equally through spherical shell of surface area 4 Pi R^2, the flux or energy received per unit area at some distance R must fall as 1/R^2
    • The flux F at distance d from a star of luminosity L is given by:
      F = L / 4Pi d^2
    • The units of luminosity are Joules per second, or watts.
    • The units of flux are watts / m^2.
    • The apparent brightness of a star is a measure of the flux received at the Earth. Thus, the luminosity of a star is a measure of its intrinsic brightness, or how bright it would be if all the stars were at the same distance.
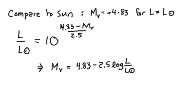
    • Just like we measure the brightness of a star by its apparent visual magnitude m_v, we measure the intrinsic brightness of a star by its absolute visual magnitude M_v. And we use those same silly units.
    • We define the absolute visual magnitude of a star to be the apparent visual magnitude that this star would have if it were at a distance of d = 10 pc.
    • We take the flux ratio using our luminosity distance formula, and the relation between brightness ratio and magnitude:
      F(10pc) / F = ( d / 10 pc )^2 = 10 ^ ( m_v - M_v / 2.5 )
      so
      m_v - M_v = 5 log d - 5
    • Thus, d = 10 ^ ( (m_v - M_v + 5)/ 5 )
    • We can calibrate this relation using the Sun: m_v=-26.74 and d=1/206265 pc
    • We find: M_v = m_v + 5 - log d = 4.83
    • Thus, the absolute visual magnitude of the Sun is M_v = +4.83
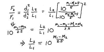
    • Using our relation between luminosity & distance, and flux & apparent magnitude, we find the relation:
      M_v1 - M_v2 = 2.5 log ( L_2 / L_1 )
      Just the same as the intensity ratio vs. magnitude!
    • Plugging in numbers for the Sun: M_v = 4.83 - 2.5 log ( L / Lsun )
    • Strictly speaking, this is true only for the luminosity measured in the visual wavebands, not the total luminosity over all wavelengths. Thus Sun has a brightness at different wavelengths, and not all stars have the same spectra.
  4. Luminosity, Temperature and Radius
    • We had the Stefan-Boltzmann law, for the flux at the surface of a star: F = s T^4
    • Thus for stellar radius R and luminosity L: s T^4 = L / 4Pi R^2
    • If we take in ratio to the Sun (Rsun, Lsun, Tsun): (L/Lsun) = (R/Rsun)^2 (T/Tsun)^4
    • This is most useful to solve for the radius R which can't be easily measured. Then, (R/Rsun) = (L/Lsun)^1/2 / (T/Tsun)^2
    • Example: Vega is an A0 star, so L=79 Lsun and T = 9900 K (from table A18). Then, we find R = 3.1 Rsun.
    • This relation is approximate, as the spectra of stars are only approximately thermal blackbody, and so the Stefan Boltzmann relation only approximately holds.
  5. Mass-Luminosity Relation & H-R Diagram
    • An approximate scaling relation between the mass and the luminosity of a star holds, for stars on the "main sequence" like the Sun (see next week). This relation has to do with the nature of the interior of a star and how it generates energy.
    • The relation is: (L/Lsun) = (M/Msun)^3.5
    • To get a measure of the mass directly, we need to observe something in orbit around the star to use Kepler's law to determine the mass.
    • Perhaps as many as half the stars we see are actually binary stars, that is, two stars gravitationally bound and mutually orbiting one another.
    • If the stars have masses M1 and M2, with an orbital period of P years and an orbital semimajor axis of A AU then:
      (M1 + M2)/Msun = A^3/P^2
    • Thus, solving for the masses is like the reverse of problem 1 on homework set #3!
    • We will discuss more about binaries in the next lecture.
    • The fact that there seems to be a relation between mass and luminosity reflects something on the internal structure of the star and how it gets its energy. We might wonder if there are any other relationships that show patterns.
    • We have 4 variables to work with: T, L, M, R. Only T and L are easily observable so an obvious thing to do is to plot one versus the other, say L vs. T.
    • The result of this is what is called the Hertzsprung-Russell Diagram. Traditionally, the temperature is plotted backwards with hotter to the left and cooler to the right. Also it helps if the axes are spaced logarithmically.
    • We find that the stars, when plotted on this diagram, do not fall randomly everywhere, but are grouped into distinct bands.
    • The most obvious band, containing the Sun ( 5800 K, 1 Lsun ), runs from faint cool stars (low T, low L) to bright hot stars (high T, high L). This is called the main sequence (abbreviated m-s).
    • Most stars in our galaxy fall on the main sequence.
    • Stars on the main sequence follow the mass-luminosity relation described above.
    • There are stars that lie below and to the left of the main sequence --- they are fainter than m-s stars of the same temperature. These are called dwarfs, white dwarfs in particular, because compared to m-s stars at the same luminosity they are hotter (white hot!). According to our relation R = L^1/2 T^-2, these stars should be smaller than their m-s relations, hence the name!
    • There are also stars that lie above and to the right of the m-s --- brighter than m-s stars of the same temperature and cooler than m-s stars of the same luminosity. These are the giants and supergiants. Using our relation R = L^1/2 T^-2 once again, we see they are larger than thier m-s cousins!
    • It turns out the supergiants can be very big indeed, swallowing up the orbit of Mars were the Sun to become one!
    • We will study the H-R diagram in some detail to see what it can tell us about stars --- finding patterns in the Universe is what Astronomy is all about!

Next Lecture - The Interstellar Medium


Overview


Distances and Parallax

Finding distances using parallax:


Brightness and Luminosity

Flux (brightness) and luminosity:

Absolute magnitudes and distance modulus:

The absolute visual magnitude of the Sun:

Luminosity and absolute visual magnitude:

Calibrating the relation using the Sun:


Luminosity, Temperature and Radius

The Luminosity - Temperature - Radius relation:

Using the relation to find the radius of Vega:


Mass-Luminosity Relation & H-R Diagram

The Mass-Luminosity relation for main-sequence stars:

The Hertzsprung-Russell Diagram is shown below, plotted as absolute magnitude ( 4.83 - 2.5logL/Lsun) versus "color" (related to temperature by the scale at the top):


Go to Previous Lecture ---- Go to Next Lecture

Back to the Lecture Notes Index
Back to the ASTR001/Sec3 Page


Steven T. Myers - Last revised 18Mar96