[NRAO] 7th NRAO Synthesis Imaging Summer School - June 2000 Prev
Error Recognition - S.T. Myers Page 5
  Next
 
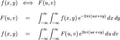
  4 The 2D Fourier Transform  
 
 
  • Adopt the representation of Bracewell:

  • Angular coordinates x,y (radians) are in a tangent plane relative to the phase center, thus spatial frequency coordinates u,v are in units of wavelengths

  • The Fourier shift theorem describes how to relate observations with one phase center relative to another:

  • A multiplication in one domain is a convolution in the other:

 
 
  Next Page: The Two Domains