Study of Dusty Galaxies at High Redshifts


Dust Continuum Emission from Distant Galaxies



The distinct nature of the submm sky is nicely demonstrated by this comparison of the Hubble Deep Field (HDF) in optical (in color, with the radio sources plotted in contours by Richards et al. 1998; left panel) and in submm (SCUBA 850 micron by Hughes et al. 1998; right panel). Rapidly increasing volume with distance combined with a strong K-correction ($S_\nu \propto \nu^{3-4}$) results in the brightest sources at submm wavelengths being the distant (z>1) dusty galaxies. Higher star formation in the earlier epochs (see below) magnifies to the dominance of high redshift objects in the submm wavelengths.

Observed SCUBA submm source counts and the ensemble mean (thick lines) and 1 sigma uncertainty (thin lines) derived from well-fitting count and background models (from Blain 1998). The models suggest the total amount of energy emitted by dusty galaxies is about five times greater than that inferred from rest frame UV observations, and a large population of luminous strongly-obscured sources at redshifts z < 5 may be missing from optical surveys (Blain et al. 1998).
The intensity of cosmic background radiation in the millimeter, submillimeter, and FIR wavebands, as inferred by Puget et al. (1996; thin solid lines), Fixen et al. (1998; dotted lines), and Schlegel et al. (stars) -- from Blain et al. (1998). The discrete sources detected by SCUBA and the inferred background intensity from the models (see above) can account for the entire submm cosmic background (in excess over the CMBR).
Cosmic star formation histories in optically-selected and obscured galaxies based on the models consistent with the submm SCUBA source counts. A large population of luminous strongly-obscured sources at z > 1 may be substantially missing from optical surveys. See Figure 8 of Blain et al. (1998) for the description of individual data points on this plot.
Expected blackbody spectrum of the ultraluminous starburst galaxy Arp 220 as seen at high redshifts. The green shaded area indicates the frequency coverage and the sensitivity of the MMA, and the Millimeter Array should be able to detect Arp 220 like dusty starburst galaxies out to a redshift of 10 or more. Galaxies like the present day Milky Way can also be detected out to z of 1. The higher level of star forming activity in the past (see above) means that the present day Milky Way should have been about 10 times more luminous at z > 1 and should be detectable with the MMA out to a redshift of 5 or higher.
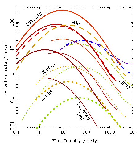
Predicted detection rates for mm/submm sources by the existing and future instruments at 5 sigma significance (Blain 1998). The expected detection speed of the MMA is about 100 times faster than the current SCUBA and comparable to that of the BOLOCAM when installed in the future LMT.



Spectral Line Emission

Along with the dust continuum emission, various redshifted spectral lines such as all rotational transitions of CO and infrared fine structure lines such as [C II] and [O I] can be detected and studied to derive the molecular gas content and star forming activity. Secure detections of redshifted CO lines from dusty galaxies at cosmological distances already exists (e.g. z=2.3 FSC 10214+4724 [Brown & Vanden Bout 1991] and z=4.7 BR 1202-07 [Ohta et al. 1996, Omont et al. 1996]). The search for CO emission from luminous submm galaxies identified by deep SCUBA surveys are also underway, and the detection of CO (3-2) emission in z=2.8 submm galaxy SMM02399-0136 is shown below.
Spectral Energy Distribution (SED) of the first luminous submm galaxy detected by SCUBA, SMM02399-0136 at z=2.8 (Ivison et al. 1998). The SED of SMM02399-0136 is essentially identical to the z=2.3 hyperluminous infrared galaxy FSC 10214+4724 and has the same shape, dominated by the FIR/submm peak, as the prototype ultraluminous galaxy Arp 220. The apparent luminosity is about 100 times larger however, partly due to gravitational magnification by a foreground cluster.
Redshifted CO (3-2) emission from the z=2.8 submm galaxy SMM02399-0136 is detected and mapped using the Caltech millimeter array by Frayer et al. (1998), confirming the optical identification of the distant faint optical galaxy as the submm continuum source. The CO spectrum obtained (left) yields the redshift of the host galaxy to be z=2.808, suggesting that the optical emission lines comes from the ionized wind blowing out of the galaxy with velocity > 400 km/s. The image of the CO image is coincident with the optical galaxy within the uncertainty of registering the optical HST image.


Gravitational Lensing

Expected fraction of lensed mm/submm sources detected by the current and future mm/submm instruments. Because few galaxies with intrinsic bolometric luminosity larger than 10^13 solar luminosity are expected, a significant fraction of brightest mm/submm/IR sources are expected to be gravitationally magnified. The majority of currently known luminous submm/IR galaxies at high redshifts such as FSC 10214+4714 or SMM02399-0136 as well as the Cloverleaf Quasar (below) are all gravitationally lensed sources.


Aided by gravitational lensing, the redshifted CO (7-6) emission from the z=2.6 Cleverleaf Quasar is spatially and spectrally resolved by the 1" resolution imaging using the Caltech millimeter array (Yun et al. 1997). An inference can be made from the lens model constructed from the optical HST image that about 10^10 solar masses of molecular gas forms a disk-like structure with an intrinsic extent of about 0.3" (1 kpc) and orbits around the quasar.


References

Barvainis et al. 1994, Nature, 371, 586

Barvainis et al. 1998, ApJ, 492, L13

Blain, A.W., Smail, I., Ivison, R.J., Kneib, J.-P. 1998, MNRAS, in press

Blain, A.W. 1998, to appear in Wide-field Surveys in Cosmology, (astro-ph/9806369)

Brown, R., Vanden Bout, P. 1991, AJ, 102, 1956

Downes et al. 1998, ApJ, submitted

Fixen et al. 1998, ApJ, submitted (astro-ph/9803021)

Frayer et al. 1998, ApJ, 505, L7

Guilloteau et al. 1997, A\&A, 328, L1

Hughes, D. et al. 1998, Nature, 394, 241

Ivison et al. 1998, MNRAS, 298, 583

Ohta et al. 1996, Nature, 382, 429

Puget et al. 1996, A\&A, 308, L5

Omont et al. 1996, Nature, 382, 428

Richards et al. 1998, AJ, 116, 1039

Scoville et al. 1997, ApJ, 485, L21

Schlegel, D.J., Finkbeiner, D.P., Davis, M. 1998, ApJ, 500, 525

Yun, M.S., Scoville, N.Z., Carrasco, J.J., Blandford, R.D. 1997, ApJ, 489, L9